Seguir
61
0
34
prof.grings
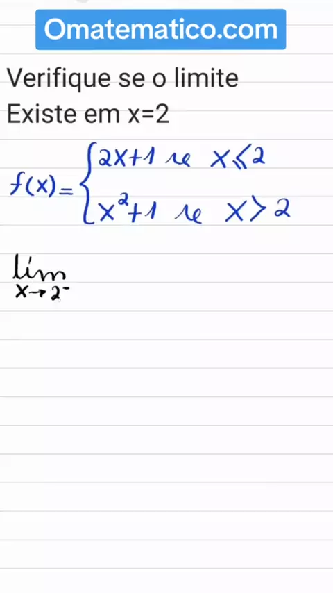
😱 Será que O LIMITE existe? #limites #grings #engenharia #calculo
Mais
Comentar
Cancelar
Enviar