Ikuti
28
0
8
prof.grings
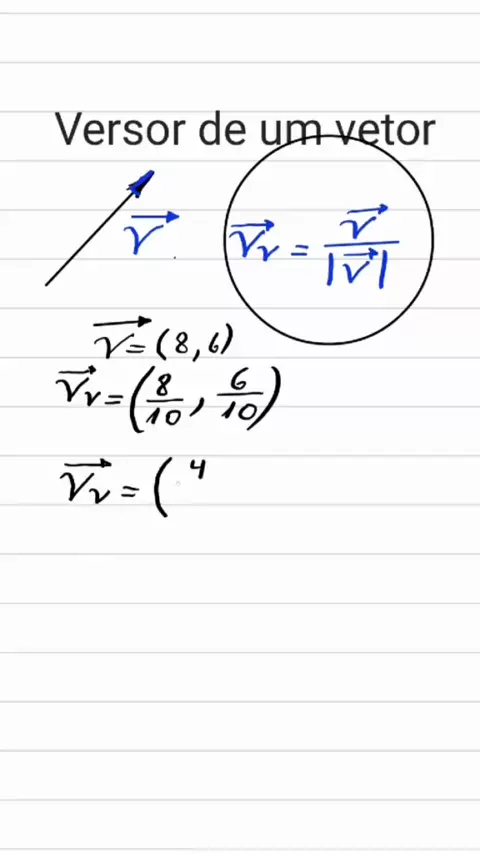
💢 Versor de um VETOR Geometria Analítica - nivel superior com Prof. Grings #engenharia #versor ##vetor #Grings #Geometria
Lebih banyak
Komentar
Batal
Kirim